최초발행: 2020-12-25. 22:26
수정발행: 2021-01-26 등 가끔씩

ㆍ2011년 KAIST 휴머노이드(인간형 로봇) 로봇연구센터의 연구팀이 설립했습니다.
ㆍ2004년 선보인 국내 최초의 인간형 이족보행 로봇 ‘휴보(HUBO)’가 이 연구팀의 작품이다. 당시 휴보는 인간처럼 걸을 수 있을 뿐만 아니라 섬세한 손가락 관절 움직임을 필요로 하는 가위바위보도 가능했다. 이후 휴보는 꾸준한 연구개발을 거쳐 진화해나갔다. 2015년에는 미국 국방부 산하 고등연구기획국이 주최하는 로봇 경진대회 ‘다르파 로보틱스 챌린지’에서 우승을 차지하기도 했다.
ㆍ2017년 '휴보'와 'FX-2', 평창 성화를 봉송하다!


출처: www.yna.co.kr/view/AKR20171211144400013?input=1179m
ㆍ상장후 필드로봇, 모바일로봇, 의료로봇 개발 등 사업 다각화를 추진해 한국을 대표하는 로봇 플랫폼 전문기업으로 도약하는게 회사 목표랍니다.
ㆍ재무상태는 이익이 나고 있지 않아 좋지는 않습니다. 적자지만 상장할 수 있는 건, 성장성 특례 상장을 추진해 기술성장기업이기 때문입니다.
| 사업기간 | 2020년 3분기 | 2019년 3분기 | 2019년 (연간) | 2018년 (연간) | 2017년 (연간) |
| 영업이익 (억원) | -8.4 | -30.4 | -54.0 | -33.4 | +8.8 |
| 당기순이익 (억원) | -7.8 | -29.9 | -55.0 | -32.4 | +6.4 |
현대차에서 미래형 로봇을 만드는 걸로 유명한 보스턴다이내믹스를 인수했다는 기사가 나온 뒤로 로봇 관련주가 많이 상승했었는데요(물론 하루만에 제자리 됐지만). 레인보우로보틱스는 이족 로봇 대회에서 우승 기록도 있고 평창올림픽에서 성화 봉송하는 로봇으로 나왔어서 이름이 알려진 기업이기도 합니다.
로봇은 터미네이터, 스타워즈 등의 여러 영화에서도 나왔지만 앞으로 계속 발전할 기술이죠. 현재 재무상태가 좋지 않아 단기적으로 매물이 많이 나올 가능성도 있지만 장기적으로 투자할 가치가 있어 보입니다.
증권플러스비상장 앱에서는 2020-12-21 23000원, 2020-12-25 19000원으로 표시되어있으나, 거래되는 양이 거의 없어서 주가정보가 확실하지 않다고 판단됩니다.
희망밴드 7000~9000원
공모가는 아마 밴드 상단인 9000원으로 결정될 듯합니다.
공모가 상단 위로 정하는게 유행인지 공모가가 10000원으로 결정됐습니다.
최소청약은 10주이므로, 10주 x 만원 x 50% = 5만원입니다.
2020-08-27: 상장예비심사신청 제출
2020-11-03: 상장예비심사결과 = 승인
2020-11-27: 증권신고서 제출 (1차)
2020-12-18: 증권신고서 정정 (2차) 일정 변경 (1/15~18에서 1/29~2/1로 늦춤)
2021-01-18~19: 기관 수요예측 조사
2021-01-25~26: 공모주 청약
2021-01-28: 청약 환불
2021-02-03: 코스닥상장
ㆍ공모주청약 기본정보
https://lecos.tistory.com/6
상장/공모주청약의 일반적인 절차
https://lecos.tistory.com/9
ㆍ공모주상장후 흐름
https://lecos.tistory.com/10
ㆍ공모주 관련글 모두 보기
https://lecos.tistory.com/category/공모주청약
ㆍ균등배정을 처음 시행하면서 균등배정후 비례배정에 대해 설명한 글
ㆍ균등배정후 비례배정을 최초 시행하는 씨앤투스성진 쉽게 따라하기 글
ㆍ1월에 계좌개설을 많이 하실 것 같아 썼던 글
2020-11-30: 레인보우로보틱스, 코스닥 상장을 위한 증권신고서 제출
2020-12-02: 레인보우로보틱스, 최대주주 락업 2년…오버행 경계
재무적투자자의 보호예수는 0%인데(=상장후 바로 매도할수 있다는 의미) 반해,
최대주주와 특수관계인(총지분 43%)은 보호예수를 1년이 아닌 2년으로 늘렸습니다.
2020-12-16: 레인보우로보틱스, 구글·애플도 반한 K-로봇 [벤처매거진]
news.wowtv.co.kr/NewsCenter/News/Read?articleId=A202012150189&t=KOv
2021-01-21: [마켓인]레인보우로보틱스, 공모가 1만원…수요예측 역대 '1위'
www.edaily.co.kr/news/read?newsId=04319766628920016&mediaCodeNo=257&OutLnkChk=Y
| 증권사 | 배정주식수 | 청약한도 | 구분 |
| 미래에셋대우 | 265,000주 | 13,000주 | 대표주관사 |
| 대신증권 | 265,000주 | 13,000주 | 대표주관사 |
대신증권은 청약초일 전일까지 계좌개설이 되어야 하고, 미래에셋대우는 당일 개설한 비대면 계좌에 청약가능합니다.
2021년부터는 여러 증권사에서 중복 청약이 불가하니 한 곳을 잘 정하시기 바랍니다. ( lecos.tistory.com/57 )
시스템 미비로 중복청약 가능합니다. 글 참조하세요.
위 표에 일반 청약한도가 표시되어있지만, 좀 더 자세하게는 고객등급기준에 따라 최대청약한도가 달라지는데요.
맨아래 공시부분중 증권신고서 또는 투자설명서에서 제1부 - I - 4 "모집과 매출절차" 부분에 증권사별로 최대청약한도와 청약단위가 잘 설명되어 있습니다.
미래에셋대우㈜/대신증권㈜의 일반청약자 청약한도는 청약자격별로 상이합니다.
□ 우대그룹의 청약한도 : 26,000주~33,000주 (200%)
□ 일반그룹의 청약한도 : 13,000주~16,000주 (100%)
참고로 여기에 최소값을 기준으로 일단 보시기 바랍니다. 범위가 있는 이유는 2021년부터 변경되는 청약제도 때문이고, 우리사주 실권주에 따라 변동되기 때문입니다 ( lecos.tistory.com/57 )
두 증권사모두 청약단위는 다음과 같습니다.

2021년부터 변경된 배정방식인 균등배정이 먼저 진행됩니다. 일단 증권신고서 공시내용을 먼저 보시면 이렇습니다.
청약 결과 공모주식의 배정은 수요예측 결과 결정된 확정공모가액으로 공동대표주관회사인 미래에셋대우㈜ 및 대신증권㈜와 발행회사인 ㈜레인보우로보틱스가 사전에 총액인수계약서 상에서 약정한 배정기준에 의거 다음과 같이 배정합니다.
① 우리사주조합은 배정주식수(265,000주) 내에서 청약한 주식수대로 배정합니다.
② 금번 IPO는 일반청약자에게 530,000주에서 662,500주 이하를 배정할 예정으로서 균등방식 최소배정 예정물량은 265,000주에서 331,250주 이상이며, 균등방식의 세부 방법은 일괄청약방식입니다. 균등방식 배정물량을 제외한 나머지 일반청약자 배정은 전부 비례방식으로 배정이 이루어집니다. 배정 후 잔여주식이 발생하는 경우 청약을 받은 인수단 구성원이 각각 자기계산으로 이를 인수하거나, 추첨 등 합리적인 방식을 통하여 재배정합니다.
③ 일반청약자가 비례방식으로 배정을 받고자 하는 수량을 청약하면 자동으로 균등방식 배정의 청약자로 인정됩니다.
④ 일반청약자 배정물량 중 1/2 이상을 일반청약자 인원수로 나눈 몫을 청약자 전원에게 균등하게 배정하고, 일반청약자 배정 총 주식수에서 균등배정분을 제외한 수량에 대해서는 비례 배정이 이루어지게 됩니다. 다만, 균등배정시 잔여물량의 배정에 대해서는 추첨 등 합리적인 방식을 통하여 재배정하므로 청약자간 차이가 발생할 수 있습니다.
⑤ 각 청약자의 청약증거금에서 균등배정분 배정 후 잔여물량에 대해서는 청약증거금에 비례하여 안분배정이 이루어지게 됩니다. 다만, 일반청약자의 청약증거금이 배정수량(금액)에 미달하는 경우 일반청약자는 동 미달금액을 배정일에 추가납입하여야 하며, 그렇지 않은 경우 청약증거금에 해당하는 수량만 배정받게 됩니다. 추가납입 이후 미청약주식이 발생할 경우에는 총액인수계약서에 따라 자기계산으로 인수합니다.
⑥ 일반청약자에 대한 배정결과 발생하는 1주 미만의 단수주는 추첨 등 합리적인 방식을 통하여 잔여주식이 최소화되도록 배정합니다. 그 결과 발생하는 잔여주식은 총액인수계약서에 따라 자기계산으로 인수하거나 추첨을 통하여 재배정합니다.
참고 글: lecos.tistory.com/57
2020년까지는 모두 비례배정으로 진행됐고, 2021년부터는 변경된 배정방식인 균등배정후 비례배정이 진행됩니다. 빈익빈 부익부 현상의 단점을 극복하기위해 만든 새로운 정책입니다.
ㆍ균등배정: 청약주식수(청약금 크기)에 상관없이 일정금액 이상 청약자 모두에게 똑같이 배정 ("똑같이 나누자")
ㆍ비례배정: 청약주식수에 비례해서 청약주식수÷경쟁률로 비례하게 배정 ("빈익빈 부익부")
일반청약 배정수량도 2021년부터는 조금 유동적입니다. 2020년까지는 우리사주 배정수량에서 미청약된 주식배정수량을 모두 기관쪽으로 배정되었는데 이걸 일반쪽으로 변경되었기 때문입니다. 대개 일반청약은 2일간 진행되는데 반해 우리사주 청약은 첫날만 진행합니다. 청약 둘째날에는 그 일반청약 배정수량을 알 수 있는 것이죠.
균등배정 수량은 일반청약 최종 배정수량의 절반이고, 청약자 인원수로 나눈 만큼 배정을 하게 됩니다.
비례배정 수량 역시 일반청약 최종 배정수량의 절반이 되겠죠.
균등배정에서 배정되는 청약금이 부족할 경우는 배정일에 출금되는데 이때 부족할 경우 균등배정은 못 받을 것으로 판단됩니다. 공시상에 쓰여있는 글은 다음과 같습니다.
"다만, 일반청약자의 청약증거금이 배정수량(금액)에 미달하는 경우 일반청약자는 동 미달금액을 배정일에 추가납입하여야 하며, 그렇지 않은 경우 청약증거금에 해당하는 수량만 배정받게 됩니다. 추가납입 이후 미청약주식이 발생할 경우에는 총액인수계약서에 따라 자기계산으로 인수합니다."
이 부분은 아래쪽에 다시 업데이트했습니다.
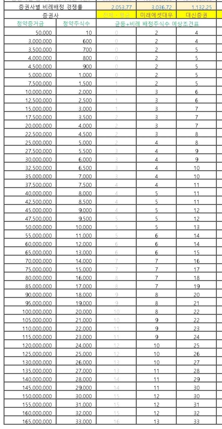
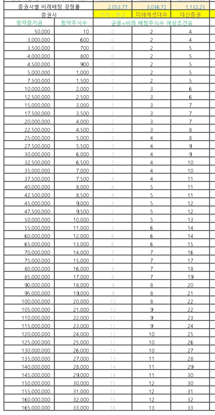
ㆍ2021년부터 청약경쟁률 예상이 더 복잡해졌습니다. 기존 경쟁률로 보시면 안 될 것 같네요. 우리사주 실권주에 의해 일반청약 배정수량도 유동적이구요. 균등배정후 비례배정 방식이라 비례배정 경쟁률이 아주 높아질것으로 예측됩니다.
ㆍ2020-12-26: 우리사주 실권으로 인해 3% 추가된다고 가정하고 비례배정에 대한 경쟁률 예측해보면 청약증거금 4조4천억 수준에 3481:1 정도로 찍었습니다.

업데이트 여러번 하니 맨아래쪽 보세요.
(1) 2020-12-26 1차 넷꾼추정 3481:1
ㆍ3만명 청약, 청약증거금 4조4천억 동원, 공모가 밴드중 상단인 9000원 가정
균등배정 9주 추정
비례배정 3481:1 추정
이 표를 처음 편집할 때 몇번째 업데이트하는지 모르겠네요. 균등배정때문에 복잡해지는군요.

최소청약 경우에서 환불액에 -36000원 쓰여있는데 36000원을 입금해야한다는 의미입니다. 공시에는 환불일(배정일) 날까지 입금해놔야하는 것으로 쓰여있습니다.
아래 표를 보시다시피 균등배정량이 많아 비례배정이 상대적으로 많이 적어 보입니다.

앞으로는 최소청약이 훨씬 유리해보이네요.
(2) 청약둘째날 마감후
청약경쟁률
미래에셋대우앱: 1718.90:1
대신증권앱: 683.62:1

청약자수 추청: 미래에셋대우 75000명, 대신증권 40000명
균등배정 수량 추정: 미래에셋대우 2주, 대신증권 4주
균등ㆍ비례 합한 배정수량 예측 조견표는 다음과 같습니다.

예상 수익률 참고표

대신증권 경쟁률과 미래에셋대우 경쟁률 비교해보면 반도 안되는데 그래서 대신증권은 좀 더 많이 배정받고 이익이 좀 더 크겠네요.
(3) 2021-01-27 배정 결과
몇 분의 배정 결과를 붙입니다.
대신증권 10주 → 3주 (최소청약), 4주는 못봄
대신증권 13000주 →13주 (네***님)
미래에셋대우 10주 → 2주(최소청약)
미래에셋대우 10000주 → 4주 (P***님)
미래에셋대우 18000주 → 6주 (네***님)
미래에셋대우 22000주 → 7주 (초***님)
미래에셋은 경쟁률이 높아 균등배정/비례배정이 예상대로 나왔는데요.
대신증권 균등 배정방식을 좀 다르게 해서 좀 차이가 있네요.
균등배정시 생기는 소수점 주식 잔여량을 대개 비례배정 주식수에서 빼오는데, 대신증권은 그냥 추첨으로 배정했네요.
주1) 균등배정에서는 총 청약 건수 37,921건에 3주씩 배정하였고, 잔여주식 18,737주는 추첨 배정하였습니다.
주2) 비례배정에서는 청약주식수에 비례하여 배정하였고, 잔여주식 5,813주는 추첨 배정하였습니다.
132500주를 37921명 청약자에게 골고루 배분한다면 3.4941주가 되는데 딱 떨어지는 3주만 골고루줬네요. 다른 증권사의 경우 4주를 주고나서 나머지로 비례배정을 했거든요.
균등의 의미가 약간 퇴색됐다고 느껴지네요. 균등하게 주식을 배정하는 것과 균등하게 주식을 받을 기회를 배정하는 것은 엄연히 다른데 말이죠. 균등배정이 0.5주 이렇게 비례배정 주식수에서 끌어올 수 없는 상황도 아니고 0.5에 근접하는 상황인데 말이죠.
(4) 2021-01-29 발행실적결과 공시
청약자수
미래에셋대우 83522명 (75000명예상했는데 단독 청약이라 몰린 듯 공시에 83522명으로 나와있음)
대신증권 37921명 (며칠전 대신증권 공지 꼬리말에 청약자수 정보 있었음)

ㆍ최대주주와 특수관계인: 43.07%
ㆍ최대주주와 특수관계인 포함 보호예수: 61.24%
ㆍ한국투자파트너스(35억원), KTB네트워크(35억원), SBI인베스트먼트(30억원), 큐더스벤처스(20억원): 아래표에서 1%이상 소유주주 부분

이 글 위쪽에 "공모주청약 기본정보" 클릭해서 다른투자 방법 보세요. ( https://lecos.tistory.com/6 )
레인보우로보틱스 관련주는 투자기업으로 #SBI인베스트먼트, 한국투자파트너스 (#한국금융지주, #한국금융지주우), KTB네트워크 (#KTB투자증권) 등으로 보입니다.
만약 상장후 상승시 로봇 관련주들도 영향이 있을 것으로 보입니다. #로보로보, #로보티즈, #로보스타, #휴림로봇 등
권리행사가격: 9,000원 (공모가격 10,000원의 90%)
씨앤투스성진은 사용했는데, 레인보우로보틱스 경우는 사용할 가능성이 없을 것 같네요.
좀 더 자세한 것은 아래 두 내용을 참고하세요.
ㆍ미래에셋대우 홈페이지의 공지사항
2021-02-02 "㈜레인보우로보틱스 일반청약자 환매청구권(풋백옵션) 안내"
ㆍ씨앤투스성진 풋백옵션(환매청구권) 설명 글: lecos.tistory.com/84
씨앤투스성진의 경우 직접 풋백옵션을 사용했습니다.

상장일 2021-02-03 공모가 10,000
상장첫날 시초가 20,000 따블, 최고가/종가 26,000 따상,
둘째날 최고가 28,000 이후 하락해 22,900 마감
셋째날 하락하려다가 다시 상승세로 반등함
3일차 상한가, 4일차 14% 상승 등 최고가 38,250 까지 계속 상승하다 다시 하락세이어짐.
2020-11-27: 증권신고서(지분증권)
dart.fss.or.kr/dsaf001/main.do?rcpNo=20201127001130
2020-12-18: 일정 변경 (15일~18일에서 29일~1일로 늦춤)
[정정] 증권신고서(지분증권)
dart.fss.or.kr/dsaf001/main.do?rcpNo=20201218000508
2021-01-13 투자설명서
http://dart.fss.or.kr/api/link.jsp?rcpNo=20210113000119
2021-01-21 [기재정정]투자설명서
http://dart.fss.or.kr/api/link.jsp?rcpNo=20210121000421
2021-01-21 [발행조건확정]증권신고서(지분증권)
http://dart.fss.or.kr/api/link.jsp?rcpNo=20210121000417
2021-01-29: 증권발행실적보고서
http://dart.fss.or.kr/api/link.jsp?rcpNo=20210129000430
◇ 넷꾼 카카오톡 단톡방 주소와 참여코드 글:
단톡방에 오셔서 질문가능합니다.
| 뷰노 공모주청약 (2021-02-16~02-17) (0) | 2021.01.31 |
|---|---|
| 2021년 2월 공모주청약: 이제부턴 균등배정 쭈욱 가즈아~~ (0) | 2021.01.30 |
| 핑거 공모주청약 (2021-01-21~22) (0) | 2021.01.23 |
| 솔루엠 공모주청약 (2021-01-21~22) (0) | 2021.01.23 |
| 명신산업 공모주청약 (2020-11-27,30) (0) | 2020.11.25 |
◇ 카카오 주주가 되어보세요! 공모주청약도 해보시구요!
◇ 넷꾼 카카오톡 단톡방 가입방: https://open.kakao.com/o/gwGBiu3c
◇ 일부 이미지는 미리캔버스의 저작권 보호를 따르며, 다른 저작권은 문의바랍니다.
◇ 모든 내용은 투자권유가 아니며 투자책임은 투자자에게 있으니 참고만 하세요.